Dane:
Szukane:
Rozwiązanie:
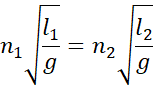
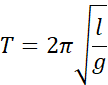
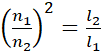
Okres drgań to czas podzielony przez liczbę wahnięć, jakie wahadło wykonało w tym czasie. Na podstawie tej zależności wyprowadzamy wzór na czas. Zgodnie z warunkami zadania, obydwa ciała mają się mieć taką samą fazę ruchu, czyli każde wahadło musi wykonać pełną liczbę wahnięć w tym samym czasie, co daje nam równanie