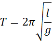
Korzystając z danych na wykresie, należy obliczyć wartość przyspieszenia ziemskiego.
| l [m] | 0,25 | 0,5 | 0,75 | 1 | 1,5 | 2 | 2,5 |
| T [s] | 1 | 1,5 | 1,75 | 2 | 2,5 | 2,9 | 3,3 |
| l [m] | 0,25 | 0,5 | 0,75 | 1 | 1,5 | 2 | 2,5 |
| T [s] | 1 | 1,5 | 1,75 | 2 | 2,5 | 2,9 | 3,3 |
| g [m/s^2] | 9,86 | 8,76 | 9,66 | 9,86 | 9,47 | 10,6 | 9,4 |
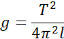
Korzystając z danych na wykresie, wyprowadzamy wzór na przyspieszenie ziemskie, następnie korzystając z danych w tabeli, odczytujemy 7 punktów i obliczamy kolejno dla nich przyspieszenia, które pomocniczo zapiszemy w tabeli. Obliczamy wartość średnią przyspieszenia, a następnie korzystając z NKP obliczamy niepewność pomiarową i zapisujemy wynik.
Zadanie 9.1.5.
135Zadanie 9.1.7.
136Zadanie 9.1.8.
136Zadanie 9.1.10.
136Zadanie 9.1.11.
137Zadanie 9.1.12.
137Zadanie 9.1.13.
137Zadanie 9.1.14.
137Zadanie 9.2.7.
144Zadanie 9.2.8.
144Zadanie 9.2.11.
145Zadanie 9.2.12.
145Zadanie 9.1.14.
145Zadanie 9.3.1
149Zadanie 9.3.7.
150Zadanie 9.3.8.
150Zadanie 9.3.10.
150Zadanie 9.3.11.
150Zadanie 9.3.12.
151Zadanie 9.3.14.
151Zadanie 9.4.2.
159Zadanie 9.4.10.
161Zadanie 9.4.17.
162Zadanie 1. Ruch drgający
174Zadanie 2. Suwnica bramowa
174Zadanie 3. Dwie sprężyny
175Zadanie 4. Winda towarowa
175Zadanie 5. Wahadło fizyczne
176