Zadanie

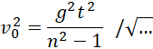
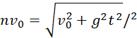
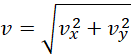
W tym zadaniu oblicz, z jaką prędkością rzucono kamień z wysokiego brzegu, jeśli po czasie 0,5 s ma on 1,5 razy większą prędkość niż prędkość początkowa.

Rozwiązanie

Wyjaśnienie

Zadania z tego działu
3. Ruch krzywoliniowy
68