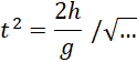
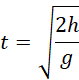
Spadek swobodny:
Rzut poziomy — czas spadania zależy od spadku poziomego, czyli składowej — spadku swobodnego.
Jest on niezależny od prędkości początkowej.
Odp. Czas spadania wszystkich kamieni będzie taki sam.
Zauważ, że czas spadku swobodnego jest zależny od wysokości oraz od przyspieszenia grawitacyjnego – oba czynniki mają taką samą wartość dla wszystkich trzech kamieni. Prędkość początkowa będzie miała wpływ na zasięg, czyli ruch poziomy tych kamieni, ale nie na ruch pionowy.