Zadanie

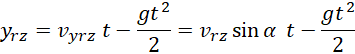
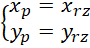
Jest wieża o wysokości H = 12,8 m, z której oddano strzał w kierunku poziomym z prędkością w kierunku rzutki wystrzelonej z podnóża wieży z prędkością pod pewnym kątem . Pocisk i rzutka rozpoczynają swój ruch w tej samej chwili i poruszają się w tej samej płaszczyźnie. Ułóż równania położenia pocisku oraz rzutki, a następnie masz wymienić warunki, jakie muszą być spełnione przez współrzędne położenia, aby pocisk trafił w rzutkę.

Rozwiązanie

Wyjaśnienie

Zadania z tego działu
3. Ruch krzywoliniowy
68