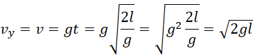
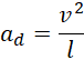
Zauważ, że puszczona kulka, przywiązana do sznurka będzie poruszała się torem rzutu poziomego, w którym zasięg rzutu to długość sznurka, na którym przymocowana jest kulka. Załóż, że na ruch ma wpływ tylko jedna składowa prędkości, która zależy od przyspieszenia ziemskiego.