Oblicz częstotliwość obrotów kosiarki oraz czas jednego obrotu wiedząc, że jej ostrze wykonuje 2880 obrotów na minutę.
Rozwiązanie
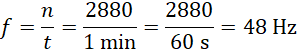
n = 2880
Czas jednego obrotu to okres:
Wyjaśnienie
Częstotliwość to liczba obrotów w jednostce czasu, natomiast okres jest odwrotnością tej liczby. Częstotliwość podajesz w hercach, a okres w sekundach.