Oblicz poziom natężenia dźwięku sygnału karetki w odległości r2 = 60 m od przechodnia, jeżeli w odległość r1 = 6 m od pieszego poziom natężenia dźwięku ambulansu wyniósł β1 = 100 dB.
Dane:
r1 = 6 m
r2 = 60 m
β1 = 100 dB
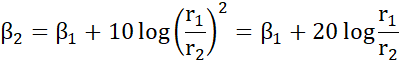
Skorzystajmy ze wzoru:
Otrzymujemy:
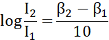
Korzystamy z własności logarytmów – różnica logarytmów to logarytm ilorazu:
Po przekształceniu:
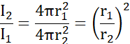
Wiemy, że natężenie dźwięku to iloraz mocy akustycznej i powierzchni.
Moc akustyczna pozostaje stała bez względu na odległość od źródła.
Dzięki czemu otrzymujemy:
Sygnał karetki wytwarza fale kuliste, więc wstawiając wzór na pole powierzchni sfery:
Wracając do wzoru (1):
Odpowiedź: W odległości 60 m od karetki, poziom natężenia dźwięku wyniósł 80 dB.
Zapisz wzór na poziom natężenia dźwięku (iloczyn liczby 10 oraz logarytmu dziesiętnego z ilorazu natężenia dźwięku i progu słyszalności) dla każdej z wymienionych sytuacji. Następnie oblicz różnicę poziomów natężenia (pamiętaj, różnica logarytmów to logarytm ilorazu). Z otrzymanej równości wyznacz szukany poziom natężenia dźwięku. Aby móc go obliczyć, musimy poznać wartość logarytmu. Skorzystaj ze wzoru na natężenie dźwięku, jest to iloraz mocy akustycznej i powierzchni. Zwróć uwagę, moc akustyczna nie zmienia się w miarę oddalania się od źródła dźwięku, a powierzchnią jest pole sfery, gdyż sygnał wytwarza fale kuliste. Wstaw do logarytmu w miejsce ilorazu natężeń, otrzymany iloraz promieni. Pamiętaj, kwadrat występujący przy liczbie logarytmowanej możesz przenieść przed logarytm jako czynnik. Wartość logarytmu to (–1), gdyż liczba logarytmowana jest odwrotnością podstawy logarytmu.
Zadanie 10.1.2.
191Zadanie 10.1.3.
191Zadanie 10.3.8.
203Zadanie 10.3.13.
203Zadanie 10.2.1.
195Zadanie 10.2.4.
196Zadanie 10.2.5.
196Zadanie 10.2.6.
196Zadanie 10.2.12.
197Zadanie 10.4.2.
208Zadanie 10.4.8.
208Zadanie 10.4.9.
209Zadanie 10.4.12.
209Zadanie 10.4.14.
209Zadanie 10.5.1.
213Zadanie 10.5.2.
213Zadanie 10.5.7.
214Zadanie 10.5.14.
216Zadanie 10.5.17.
217Zadanie 10.6.3.
225Zadanie 10.6.4.
225Zadanie 10.6.10.
226Zadanie 10.6.14.
227Zadanie 10.6.15.
227Zadanie 10.7.3.
240Zadanie 10.7.4.
241Zadanie 10.7.5.
241Zadanie 10.7.6.
241Zadanie 10.7.11.
242Zadanie 10.7.12.
242Zadanie 10.7.16.
243Zadanie 10.7.18.
243Zadanie 10.7.19.
243Zadanie 10.7.21.
244Zadanie 10.8.2.
249Zadanie 10.8.3.
249Zadanie 10.8.8.
250Zadanie 10.8.9.
250Zadanie 10.8.12.
251Zadanie 10.6.
252Zadanie 1. Piszczałki organowe
257Zadanie 2. Karetka pogotowia
275Zadanie 3. Rozchodzenie się dźwięku
259Zadanie 4. Rogi przeciwmgielne
259Zadanie 5. Pomiar prędkości dźwięku
260Zadanie 6. Klamerki
261