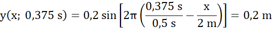
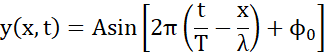
Oblicz odległość punktu, którego wychylenie po t = 0,375 s wynosi y = 0,2 m, wiedząc, że porusza się ona z prędkością v = 4
Dane:
v = 4
t = 0,375 s
y = 0,2 m
Z pierwszego podpunktu wiemy, że:
A = 0,2 m
T = 0,5 s
fala porusza się zgodnie ze zwrotem osi, więc skorzystajmy ze wzoru:
Aby równość była prawdziwa,
Odpowiedź: Punkt, którego wychylenie po czasie 0,375 s wyniosło 0,2 m, znajduje się 1 metr od źródła fali.
Wykorzystaj wartości wyliczone w pierwszym podpunkcie. Skorzystaj z równania opisującego położenie punktu powstałego po zastąpieniu częstości kołowej ilorazem 2π i okresu oraz prędkości fali poprzez iloraz długości i okresu. Wstaw dane i wyznaczone wartości, a następnie przyrównaj iloczyn do podanego wychylenia. Zauważ, równość będzie prawdziwa tylko, gdy sinus wyniesie jeden, czyli jego argument będzie równy π drugich (jest to najmniejsza możliwa wartość, sinus wyniesie jeden także dla innych argumentów, ale wyznaczone w ten sposób punkty znajdą się dalej od źródła). Z otrzymanej równości wylicz szukaną wartość x.
Zadanie 10.1.2.
191Zadanie 10.1.3.
191Zadanie 10.3.8.
203Zadanie 10.3.13.
203Zadanie 10.2.1.
195Zadanie 10.2.4.
196Zadanie 10.2.5.
196Zadanie 10.2.6.
196Zadanie 10.2.12.
197Zadanie 10.4.2.
208Zadanie 10.4.8.
208Zadanie 10.4.9.
209Zadanie 10.4.12.
209Zadanie 10.4.14.
209Zadanie 10.5.1.
213Zadanie 10.5.2.
213Zadanie 10.5.7.
214Zadanie 10.5.14.
216Zadanie 10.5.17.
217Zadanie 10.6.3.
225Zadanie 10.6.4.
225Zadanie 10.6.10.
226Zadanie 10.6.14.
227Zadanie 10.6.15.
227Zadanie 10.7.3.
240Zadanie 10.7.4.
241Zadanie 10.7.5.
241Zadanie 10.7.6.
241Zadanie 10.7.11.
242Zadanie 10.7.12.
242Zadanie 10.7.16.
243Zadanie 10.7.18.
243Zadanie 10.7.19.
243Zadanie 10.7.21.
244Zadanie 10.8.2.
249Zadanie 10.8.3.
249Zadanie 10.8.8.
250Zadanie 10.8.9.
250Zadanie 10.8.12.
251Zadanie 10.6.
252Zadanie 1. Piszczałki organowe
257Zadanie 2. Karetka pogotowia
275Zadanie 3. Rozchodzenie się dźwięku
259Zadanie 4. Rogi przeciwmgielne
259Zadanie 5. Pomiar prędkości dźwięku
260Zadanie 6. Klamerki
261