Zapisz równanie fali, wiedząc, że jej długość to λ = 5 m, amplituda wynosi A = 0,5 m, rozchodzi się ona z prędkością v = 2
Dane:
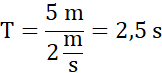
A = 0,5 m
λ = 5 m
v = 2
x = 0,5 m
t = 1,5 s
Skorzystajmy ze wzoru:
Okres to iloraz długości i prędkości rozchodzenia się fali:
Więc równanie fali wygląda następująco:
Aby wyliczyć wychylenie punktu, wstawiamy konieczne dane:
Odpowiedź: Wychylenie punktu oddalonego o 0,5 m od źródła fali po czasie 1,5 s wyniosło zero.
Skorzystaj z równania opisującego położenie punktu powstałego po zastąpieniu częstości kołowej ilorazem 2π i okresu oraz prędkości fali poprzez iloraz długości i okresu. Wstaw do równania podane w treści dane: amplitudę i długość fali. Okres wyliczysz, dzieląc długość fali przez prędkość jej rozchodzenia. Aby poznać wartość wychylenia punktu, do otrzymanego równania wstaw podaną w zadaniu odległość od źródła i czas.
Zadanie 10.1.2.
191Zadanie 10.1.3.
191Zadanie 10.3.8.
203Zadanie 10.3.13.
203Zadanie 10.2.1.
195Zadanie 10.2.4.
196Zadanie 10.2.5.
196Zadanie 10.2.6.
196Zadanie 10.2.12.
197Zadanie 10.4.2.
208Zadanie 10.4.8.
208Zadanie 10.4.9.
209Zadanie 10.4.12.
209Zadanie 10.4.14.
209Zadanie 10.5.1.
213Zadanie 10.5.2.
213Zadanie 10.5.7.
214Zadanie 10.5.14.
216Zadanie 10.5.17.
217Zadanie 10.6.3.
225Zadanie 10.6.4.
225Zadanie 10.6.10.
226Zadanie 10.6.14.
227Zadanie 10.6.15.
227Zadanie 10.7.3.
240Zadanie 10.7.4.
241Zadanie 10.7.5.
241Zadanie 10.7.6.
241Zadanie 10.7.11.
242Zadanie 10.7.12.
242Zadanie 10.7.16.
243Zadanie 10.7.18.
243Zadanie 10.7.19.
243Zadanie 10.7.21.
244Zadanie 10.8.2.
249Zadanie 10.8.3.
249Zadanie 10.8.8.
250Zadanie 10.8.9.
250Zadanie 10.8.12.
251Zadanie 10.6.
252Zadanie 1. Piszczałki organowe
257Zadanie 2. Karetka pogotowia
275Zadanie 3. Rozchodzenie się dźwięku
259Zadanie 4. Rogi przeciwmgielne
259Zadanie 5. Pomiar prędkości dźwięku
260Zadanie 6. Klamerki
261