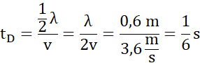
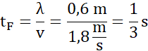
Wykorzystując rysunek, oblicz czas, po jakim zaburzenie z punktu B dotrze do punktów D, F oraz G, wiedząc, że długość fali to λ = 60 cm, a jej prędkość wynosi v = 1,8
Dane:
λ = 60 cm = 0,6 m
v = 1,8
t0 = 0
Na rysunku każda kratka oznacza jedną czwartą długości fali.
Przyjmijmy, że fala rozchodzi się ruchem jednostajnym, wtedy:
więc:
Przyjrzyj się rysunkowi – długość fali jest równa czterem kratkom, więc jedna kratka to ćwierć długości fali. Przyjmij, że zaburzenie porusza się ruchem jednostajnym, czyli czas, po jakim dotrze do celu to iloraz drogi i prędkości. Odległość pomiędzy punktami obliczysz, mnożąc liczbę dzielących je kratek przez
Zadanie 10.1.2.
191Zadanie 10.1.3.
191Zadanie 10.3.8.
203Zadanie 10.3.13.
203Zadanie 10.2.1.
195Zadanie 10.2.4.
196Zadanie 10.2.5.
196Zadanie 10.2.6.
196Zadanie 10.2.12.
197Zadanie 10.4.2.
208Zadanie 10.4.8.
208Zadanie 10.4.9.
209Zadanie 10.4.12.
209Zadanie 10.4.14.
209Zadanie 10.5.1.
213Zadanie 10.5.2.
213Zadanie 10.5.7.
214Zadanie 10.5.14.
216Zadanie 10.5.17.
217Zadanie 10.6.3.
225Zadanie 10.6.4.
225Zadanie 10.6.10.
226Zadanie 10.6.14.
227Zadanie 10.6.15.
227Zadanie 10.7.3.
240Zadanie 10.7.4.
241Zadanie 10.7.5.
241Zadanie 10.7.6.
241Zadanie 10.7.11.
242Zadanie 10.7.12.
242Zadanie 10.7.16.
243Zadanie 10.7.18.
243Zadanie 10.7.19.
243Zadanie 10.7.21.
244Zadanie 10.8.2.
249Zadanie 10.8.3.
249Zadanie 10.8.8.
250Zadanie 10.8.9.
250Zadanie 10.8.12.
251Zadanie 10.6.
252Zadanie 1. Piszczałki organowe
257Zadanie 2. Karetka pogotowia
275Zadanie 3. Rozchodzenie się dźwięku
259Zadanie 4. Rogi przeciwmgielne
259Zadanie 5. Pomiar prędkości dźwięku
260Zadanie 6. Klamerki
261