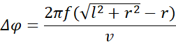
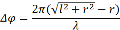
Należy ustalić różnicę faz oraz, czy w obecnym położeniu słuchacz odbierze sygnał wzmocniony czy wygaszony.
Dane:
Szukane:
Rozwiązanie:
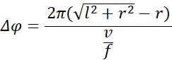
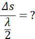
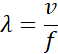
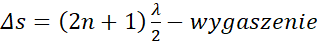
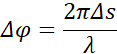
Obliczamy różnicę dróg przebytych przez sygnały, następnie na podstawie proporcji obliczamy przesunięcie fazowe. Zgodnie z warunkiem na wygaszenie bądź wzmocnienie musimy obliczyć, różnicę dróg przebytych przez sygnały, następnie sprawdzamy, czy jest to parzysta bądź nieparzysta wielokrotność połowy długości fali W naszym zadaniu okazuje się to być bardzo bliskie przybliżenie parzystej wielokrotności, czyli mamy tutaj wzmocnienie, ale nie maksymalne.
Zadanie 10.1.2.
191Zadanie 10.1.3.
191Zadanie 10.3.8.
203Zadanie 10.3.13.
203Zadanie 10.2.1.
195Zadanie 10.2.4.
196Zadanie 10.2.5.
196Zadanie 10.2.6.
196Zadanie 10.2.12.
197Zadanie 10.4.2.
208Zadanie 10.4.8.
208Zadanie 10.4.9.
209Zadanie 10.4.12.
209Zadanie 10.4.14.
209Zadanie 10.5.1.
213Zadanie 10.5.2.
213Zadanie 10.5.7.
214Zadanie 10.5.14.
216Zadanie 10.5.17.
217Zadanie 10.6.3.
225Zadanie 10.6.4.
225Zadanie 10.6.10.
226Zadanie 10.6.14.
227Zadanie 10.6.15.
227Zadanie 10.7.3.
240Zadanie 10.7.4.
241Zadanie 10.7.5.
241Zadanie 10.7.6.
241Zadanie 10.7.11.
242Zadanie 10.7.12.
242Zadanie 10.7.16.
243Zadanie 10.7.18.
243Zadanie 10.7.19.
243Zadanie 10.7.21.
244Zadanie 10.8.2.
249Zadanie 10.8.3.
249Zadanie 10.8.8.
250Zadanie 10.8.9.
250Zadanie 10.8.12.
251Zadanie 10.6.
252Zadanie 1. Piszczałki organowe
257Zadanie 2. Karetka pogotowia
275Zadanie 3. Rozchodzenie się dźwięku
259Zadanie 4. Rogi przeciwmgielne
259Zadanie 5. Pomiar prędkości dźwięku
260Zadanie 6. Klamerki
261