Wykorzystując diagram oblicz średnią prędkość fali podłużnej P i fali poprzecznej S w czwartej minucie ruchu.
Dane:
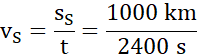
t = 4 min = 240 s
Odczytując w diagramu:
Przyjmijmy, że fale poruszają się ruchem jednostajnym, więc:
Odpowiedź: W czwartej minucie ruchu prędkość fali P wyniosła w przybliżeniu
Odszukaj na pionowej podziałce 4 minuty i odczytaj, jaka wartość drogi odpowiada w tym czasie dla każdej z fal. Przyjmij, że fale poruszają się ruchem jednostajnym, więc ich prędkość to iloraz drogi i czasu. Aby wynik był czytelniejszy, zapisz czas w sekundach. Zauważ, po 4 minutach ruchu fala poprzeczna S jest około 2 razy szybsza od fali podłużnej P, ale wraz z czasem iloraz prędkości fal zbliża się do liczby
Zadanie 10.1.2.
191Zadanie 10.1.3.
191Zadanie 10.3.8.
203Zadanie 10.3.13.
203Zadanie 10.2.1.
195Zadanie 10.2.4.
196Zadanie 10.2.5.
196Zadanie 10.2.6.
196Zadanie 10.2.12.
197Zadanie 10.4.2.
208Zadanie 10.4.8.
208Zadanie 10.4.9.
209Zadanie 10.4.12.
209Zadanie 10.4.14.
209Zadanie 10.5.1.
213Zadanie 10.5.2.
213Zadanie 10.5.7.
214Zadanie 10.5.14.
216Zadanie 10.5.17.
217Zadanie 10.6.3.
225Zadanie 10.6.4.
225Zadanie 10.6.10.
226Zadanie 10.6.14.
227Zadanie 10.6.15.
227Zadanie 10.7.3.
240Zadanie 10.7.4.
241Zadanie 10.7.5.
241Zadanie 10.7.6.
241Zadanie 10.7.11.
242Zadanie 10.7.12.
242Zadanie 10.7.16.
243Zadanie 10.7.18.
243Zadanie 10.7.19.
243Zadanie 10.7.21.
244Zadanie 10.8.2.
249Zadanie 10.8.3.
249Zadanie 10.8.8.
250Zadanie 10.8.9.
250Zadanie 10.8.12.
251Zadanie 10.6.
252Zadanie 1. Piszczałki organowe
257Zadanie 2. Karetka pogotowia
275Zadanie 3. Rozchodzenie się dźwięku
259Zadanie 4. Rogi przeciwmgielne
259Zadanie 5. Pomiar prędkości dźwięku
260Zadanie 6. Klamerki
261