Wykonaj konieczne obliczenia i podaj przedział natężenia fali dźwiękowej, która jest słyszalna dla człowieka, wiedząc, że amplituda takiej fali mieści się w granicach od 10–11 m do 10–5 m.
Dane:
Korzystamy ze wzoru:
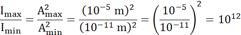
Możemy zauważyć, że natężenie jest wprost proporcjonalne do kwadratu amplitudy, czyli:
Oznacza to, że maksymalne natężenie fali dźwiękowej odbieranej przez człowieka jest
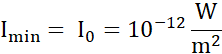
Z założeń do zadań:
A więc:
Odpowiedź: Człowiek odbiera fale dźwiękowe o natężeniu od
Przypomnij sobie wzór na natężenie fali dźwiękowej z wykorzystaniem amplitudy. Zauważ, natężenie jest wprost proporcjonalne do kwadratu amplitudy (gdy natężenie wzrośnie x razy, amplituda wzrośnie x2 razy). Zapisz odpowiednią proporcję – z jednej strony równości umieść iloraz natężeń, a z drugiej – iloraz kwadratów amplitudy. Wstaw podane dane i wylicz wartość ilorazu. Maksymalne natężenie jest 1012 razy większe od minimalnego natężenia, które ma wartość
Zadanie 10.1.2.
191Zadanie 10.1.3.
191Zadanie 10.3.8.
203Zadanie 10.3.13.
203Zadanie 10.2.1.
195Zadanie 10.2.4.
196Zadanie 10.2.5.
196Zadanie 10.2.6.
196Zadanie 10.2.12.
197Zadanie 10.4.2.
208Zadanie 10.4.8.
208Zadanie 10.4.9.
209Zadanie 10.4.12.
209Zadanie 10.4.14.
209Zadanie 10.5.1.
213Zadanie 10.5.2.
213Zadanie 10.5.7.
214Zadanie 10.5.14.
216Zadanie 10.5.17.
217Zadanie 10.6.3.
225Zadanie 10.6.4.
225Zadanie 10.6.10.
226Zadanie 10.6.14.
227Zadanie 10.6.15.
227Zadanie 10.7.3.
240Zadanie 10.7.4.
241Zadanie 10.7.5.
241Zadanie 10.7.6.
241Zadanie 10.7.11.
242Zadanie 10.7.12.
242Zadanie 10.7.16.
243Zadanie 10.7.18.
243Zadanie 10.7.19.
243Zadanie 10.7.21.
244Zadanie 10.8.2.
249Zadanie 10.8.3.
249Zadanie 10.8.8.
250Zadanie 10.8.9.
250Zadanie 10.8.12.
251Zadanie 10.6.
252Zadanie 1. Piszczałki organowe
257Zadanie 2. Karetka pogotowia
275Zadanie 3. Rozchodzenie się dźwięku
259Zadanie 4. Rogi przeciwmgielne
259Zadanie 5. Pomiar prędkości dźwięku
260Zadanie 6. Klamerki
261