Oceń, jak na wartość natężenia fali akustycznej wpłynie trzykrotne zmniejszenie amplitudy i trzykrotne zwiększenie częstotliwości.
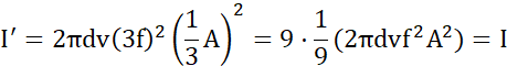
Korzystamy ze wzoru:
Oraz z zależności:
Co daje:
Natężenie jest wprost proporcjonalne do kwadratu amplitudy, więc po zmniejszeniu amplitudy trzykrotnie, natężenie zmaleje dziewięciokrotnie.
Natężenie jest wprost proporcjonalne do kwadratu częstotliwości, więc zwiększenie częstotliwości trzykrotnie, zwiększy natężenie dziewięciokrotnie.
Po zmniejszeniu amplitudy trzykrotnie i zwiększeniu częstotliwości trzykrotnie wartość natężenia pozostanie taka sama.
Przypomnij sobie wzór na natężenie fali akustycznej w zależności od amplitudy oraz zależność pomiędzy częstością kołową i częstotliwością. Wstaw do wzoru podaną zależność w miejsce częstości kołowej. Zauważ, zarówno amplituda, jak i częstotliwość występują w drugiej potędze, czyli natężenie jest wprost proporcjonalne do kwadratu amplitudy oraz częstotliwości. Oznacza to, że zwiększenie (zmniejszenie) każdej z nich trzykrotnie, zwiększy (zmniejszy) wartość natężenia dziewięciokrotnie.
Zadanie 10.1.2.
191Zadanie 10.1.3.
191Zadanie 10.3.8.
203Zadanie 10.3.13.
203Zadanie 10.2.1.
195Zadanie 10.2.4.
196Zadanie 10.2.5.
196Zadanie 10.2.6.
196Zadanie 10.2.12.
197Zadanie 10.4.2.
208Zadanie 10.4.8.
208Zadanie 10.4.9.
209Zadanie 10.4.12.
209Zadanie 10.4.14.
209Zadanie 10.5.1.
213Zadanie 10.5.2.
213Zadanie 10.5.7.
214Zadanie 10.5.14.
216Zadanie 10.5.17.
217Zadanie 10.6.3.
225Zadanie 10.6.4.
225Zadanie 10.6.10.
226Zadanie 10.6.14.
227Zadanie 10.6.15.
227Zadanie 10.7.3.
240Zadanie 10.7.4.
241Zadanie 10.7.5.
241Zadanie 10.7.6.
241Zadanie 10.7.11.
242Zadanie 10.7.12.
242Zadanie 10.7.16.
243Zadanie 10.7.18.
243Zadanie 10.7.19.
243Zadanie 10.7.21.
244Zadanie 10.8.2.
249Zadanie 10.8.3.
249Zadanie 10.8.8.
250Zadanie 10.8.9.
250Zadanie 10.8.12.
251Zadanie 10.6.
252Zadanie 1. Piszczałki organowe
257Zadanie 2. Karetka pogotowia
275Zadanie 3. Rozchodzenie się dźwięku
259Zadanie 4. Rogi przeciwmgielne
259Zadanie 5. Pomiar prędkości dźwięku
260Zadanie 6. Klamerki
261