Wykorzystując wykres, oblicz częstotliwość fali wraz z jej maksymalną niepewnością, wiedząc, że najmniejsza zaznaczona na osi x podziała to 0,2 ms.
Dwóm pełnym okresom odpowiada 3 odcinków, więc:
Częstotliwość to odwrotność okresu:
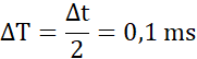
Początek i koniec zaznaczonego przedziału czasu (2T) możemy odczytać z dokładnością do 0,5 podziałki, czyli bezwzględna niepewność pomiarowa ma wartość:
więc bezwzględna niepewność pomiarowa dla jednego okresu to:
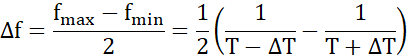
Maksymalna niepewność pomiarowa dla częstotliwości ma wartość:
Odpowiedź: Częstotliwość fali dźwiękowej z maksymalną niepewnością pomiarową wynosi
Przyjrzyj się wykresowi i policz odcinki, które dzielą od siebie zaznaczony fragment. Otrzymaną liczbę przemnóż przez 0,2 ms, a następnie podziel przez liczbę okresów. Zauważ, otrzymana wartość podana jest w milisekundach. Zanim obliczysz częstotliwość fali dźwiękowej (czyli odwrotność okresu), zapisz okres w jednostce podstawowej. Aby poznać maksymalną niepewność pomiarową częstotliwości, zacznij od niepewności pomiarowej okresu – czas możesz odczytać z dokładnością do połowy podziałki, czyli z dokładnością do 0,1 ms (zauważ, niepewność może pojawić się zarówno na początku wykresu, jak i na jego końcu, więc niepewność musisz pomnożyć przez 2). Gdy podzielisz otrzymaną niepewność przez liczbę okresów, poznasz niepewność pomiarową dla jednego okresu. Maksymalna niepewność pomiarowa częstotliwości to średnia arytmetyczna z maksymalnej i minimalnej częstotliwości. Częstotliwość będzie największa, gdy mianownik ułamka (odwrotność okresu wraz z niepewnością pomiarową) będzie możliwie najmniejszy, podobnie, częstotliwość osiągnie minimalną wartość, gdy mianownik osiągnie największą wartość.
Zadanie 10.1.2.
191Zadanie 10.1.3.
191Zadanie 10.3.8.
203Zadanie 10.3.13.
203Zadanie 10.2.1.
195Zadanie 10.2.4.
196Zadanie 10.2.5.
196Zadanie 10.2.6.
196Zadanie 10.2.12.
197Zadanie 10.4.2.
208Zadanie 10.4.8.
208Zadanie 10.4.9.
209Zadanie 10.4.12.
209Zadanie 10.4.14.
209Zadanie 10.5.1.
213Zadanie 10.5.2.
213Zadanie 10.5.7.
214Zadanie 10.5.14.
216Zadanie 10.5.17.
217Zadanie 10.6.3.
225Zadanie 10.6.4.
225Zadanie 10.6.10.
226Zadanie 10.6.14.
227Zadanie 10.6.15.
227Zadanie 10.7.3.
240Zadanie 10.7.4.
241Zadanie 10.7.5.
241Zadanie 10.7.6.
241Zadanie 10.7.11.
242Zadanie 10.7.12.
242Zadanie 10.7.16.
243Zadanie 10.7.18.
243Zadanie 10.7.19.
243Zadanie 10.7.21.
244Zadanie 10.8.2.
249Zadanie 10.8.3.
249Zadanie 10.8.8.
250Zadanie 10.8.9.
250Zadanie 10.8.12.
251Zadanie 10.6.
252Zadanie 1. Piszczałki organowe
257Zadanie 2. Karetka pogotowia
275Zadanie 3. Rozchodzenie się dźwięku
259Zadanie 4. Rogi przeciwmgielne
259Zadanie 5. Pomiar prędkości dźwięku
260Zadanie 6. Klamerki
261