W tym zadaniu oblicz o ile obniży się poziom cieczy oraz objętość wody, jaka przeleje się z lewej rurki o przekroju S1 = 4 cm2 do prawej rurki o przekroju S2 = 3 cm2, jeśli naczynia są połączone i znajduje się w nich ta sama ciecz, a w lewej rurce znajduje się h = 7 cm więcej cieczy.
Objętość cieczy, jaka wypłynie z lewej rurki jest równa objętości cieczy, jaka wpłynie do prawej. Naczynia są połączone, więc poziom cieczy wyrówna się, czyli jeśli poziom cieczy w lewej rurce obniży się o
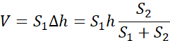
A objętość cieczy jaka wypłynie:
Podstawiając wartości liczbowe:
Odpowiedź: Z lewej rurki do prawej przeleje się 12 cm3 wody, a poziom w lewej rurce obniży się o 3 cm.
Korzystając z warunku równowagi cieczy w naczyniach połączonych zauważamy, że jeśli w obu naczyniach jest ta sama ciecz to poziom cieczy w obu naczyniach jest taki sam. Zauważamy, że objętość cieczy jaka wylała się z lewej rurki jest równa objętości cieczy, jaka wlała się do prawej rurki.
Przykład Przykład 1.
11Przykład Przykład 2.
12Przykład Przykład 3.
13Zadanie 7.1.2
14Zadanie 7.1.3
14Zadanie 7.1.5
15Zadanie 7.1.8
15Zadanie 7.1.9
15Przykład Przykład 1.
16Zadanie 7.2.1.
18Zadanie 7.2.3.
19Zadanie 7.2.12.
21Zadanie 7.2.13.
21Zadanie 7.3.2.
26Zadanie 7.4.1.
30Zadanie 7.4.11.
31Przykład Przykład 1.
32Przykład Przykład 3.
34Przykład Przykład 5.
37Zadanie 7.5.4.
38Zadanie 7.5.10.
39Zadanie 7.5.14.
40Zadanie 7.5.16.
40Zadanie 7.5.20.
41Zadanie 7.5.26.
42Przykład Przykład 1.
43Zadanie 7.6.2.
46Zadanie 7.6.6.
47Przykład Przykład 2.
49Zadanie 7.7.2.
52Zadanie 7.7.3.
52Zadanie 7.7.4.
53Zadanie 7.7.6.
53Przykład Przykład 1.
55Zadanie 7.8.7.
58Przykład Przykład. Gejzer
64Zadanie Zadanie 1. Śluza
66Zadanie Zadanie 2. Balon
67Zadanie Zadanie 3. Butla z gazem
67Zadanie Zadanie 4. Wartość energetyczna pożywienia
68