W tym zadaniu oblicz gęstość metalu, z którego wykonany został ciężarek o ciężarze
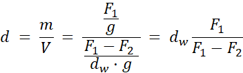
Mamy obliczyć gęstość nieznanego metalu, skorzystamy więc z zależności:
Różnica wskazań siłomierza w powietrzu i w wodzie to wartość siły wyporu:
Gdy porównamy to wyrażenie ze wzorem na wartość siły wyporu
Z tej równości wyznaczamy objętość metalowego ciężarka:
Wskazanie siłomierza w powietrzu
Gdy znamy masę i objętość ciężarka, możemy wyznaczyć jego gęstość:
Podstawiamy dane i otrzymujemy:
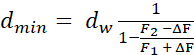
Użyty w doświadczeniu siłomierz mierzył siłę z dokładnością
Wyznaczamy
Stąd po podstawieniu danych:
czyli niepewność pomiarowa to
Uczniowie wyznaczający doświadczalnie gęstość metalu otrzymali więc wynik:
Odpowiedź: Uczniowie otrzymali gęstość
Gęstość ciężarka obliczamy, korzystając z definicji gęstości. Masę wyznaczamy, korzystając z pomiaru ciężaru w powietrzu, a objętość przez przyrównanie definicji siły wyporu z siłą wyporu obliczoną z różnicy wskazań siłomierza. Niepewność pomiarową obliczamy, korzystając ze wzoru
Przykład Przykład 1.
11Przykład Przykład 2.
12Przykład Przykład 3.
13Zadanie 7.1.2
14Zadanie 7.1.3
14Zadanie 7.1.5
15Zadanie 7.1.8
15Zadanie 7.1.9
15Przykład Przykład 1.
16Zadanie 7.2.1.
18Zadanie 7.2.3.
19Zadanie 7.2.12.
21Zadanie 7.2.13.
21Zadanie 7.3.2.
26Zadanie 7.4.1.
30Zadanie 7.4.11.
31Przykład Przykład 1.
32Przykład Przykład 3.
34Przykład Przykład 5.
37Zadanie 7.5.4.
38Zadanie 7.5.10.
39Zadanie 7.5.14.
40Zadanie 7.5.16.
40Zadanie 7.5.20.
41Zadanie 7.5.26.
42Przykład Przykład 1.
43Zadanie 7.6.2.
46Zadanie 7.6.6.
47Przykład Przykład 2.
49Zadanie 7.7.2.
52Zadanie 7.7.3.
52Zadanie 7.7.4.
53Zadanie 7.7.6.
53Przykład Przykład 1.
55Zadanie 7.8.7.
58Przykład Przykład. Gejzer
64Zadanie Zadanie 1. Śluza
66Zadanie Zadanie 2. Balon
67Zadanie Zadanie 3. Butla z gazem
67Zadanie Zadanie 4. Wartość energetyczna pożywienia
68