W tym zadaniu oblicz liczbę pełnych cykli potrzebnych do podniesienia skrzyni na wysokość H = 0,45 m, jeśli w jednym cyklu mały tłok przesuwa się o
Obliczmy najpierw, o ile przesunie się duży tłok, jeżeli mały tłok przesunie się o
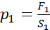
Ze wzoru na ciśnienie
Podobnie zapisujemy pracę wykonaną przez drugi tłok:
Z zasady zachowania energii
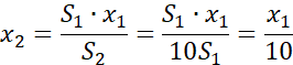
Z powyższego wzoru i zależności
Po wstawieniu danych dostajemy wynik:
W jednym cyklu małego tłoka duży tłok przesunie się o 1,5 cm. Chcemy jednak przesunąć duży tłok o H = 0,45 m = 45 cm, czyli mały tłok musimy przesunąć:
Odpowiedź: Aby podnieść skrzynię na wysokość 0,45 m należy wykonać 30 cykli.
Korzystamy ze wzoru na pracę oraz wzoru na ciśnienie. Z zasady zachowania energii oraz prawa Pascala wyznaczamy zależność między powierzchniami i przesunięciami, z której obliczamy przesunięcie dużego tłoka w jednym cyklu. Liczbę cykli obliczamy, dzieląc wysokość przez przesunięcie dużego tłoka w jednym cyklu.
Przykład Przykład 1.
11Przykład Przykład 2.
12Przykład Przykład 3.
13Zadanie 7.1.2
14Zadanie 7.1.3
14Zadanie 7.1.5
15Zadanie 7.1.8
15Zadanie 7.1.9
15Przykład Przykład 1.
16Zadanie 7.2.1.
18Zadanie 7.2.3.
19Zadanie 7.2.12.
21Zadanie 7.2.13.
21Zadanie 7.3.2.
26Zadanie 7.4.1.
30Zadanie 7.4.11.
31Przykład Przykład 1.
32Przykład Przykład 3.
34Przykład Przykład 5.
37Zadanie 7.5.4.
38Zadanie 7.5.10.
39Zadanie 7.5.14.
40Zadanie 7.5.16.
40Zadanie 7.5.20.
41Zadanie 7.5.26.
42Przykład Przykład 1.
43Zadanie 7.6.2.
46Zadanie 7.6.6.
47Przykład Przykład 2.
49Zadanie 7.7.2.
52Zadanie 7.7.3.
52Zadanie 7.7.4.
53Zadanie 7.7.6.
53Przykład Przykład 1.
55Zadanie 7.8.7.
58Przykład Przykład. Gejzer
64Zadanie Zadanie 1. Śluza
66Zadanie Zadanie 2. Balon
67Zadanie Zadanie 3. Butla z gazem
67Zadanie Zadanie 4. Wartość energetyczna pożywienia
68