W tym zadaniu oblicz siłę, jaką trzeba działać na uchwyt drążka, aby siła działająca na tłok 1 miała wartość
Tłok 1 nie jest naciskany bezpośrednio, lecz za pomocą drążka połączonego z tłokiem.
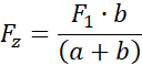
Na drążek działa siła
Zapisujemy równość momentów sił
Z otrzymanego równania wyznaczamy szukaną siłę działającą na uchwyt drążka:
Podstawiamy dane i otrzymujemy:
Odpowiedź: Na uchwyt drążka należy działać siłą 62,5 N.
Korzystamy równości momentów sił. Iloczyny siły, odległości od punktu odniesienia (w naszym przypadku punkt zamocowania drążka) oraz sinusa kąta pomiędzy nimi (u nas sin(90o) = 1) muszą być równe dla obu sił.
Przykład Przykład 1.
11Przykład Przykład 2.
12Przykład Przykład 3.
13Zadanie 7.1.2
14Zadanie 7.1.3
14Zadanie 7.1.5
15Zadanie 7.1.8
15Zadanie 7.1.9
15Przykład Przykład 1.
16Zadanie 7.2.1.
18Zadanie 7.2.3.
19Zadanie 7.2.12.
21Zadanie 7.2.13.
21Zadanie 7.3.2.
26Zadanie 7.4.1.
30Zadanie 7.4.11.
31Przykład Przykład 1.
32Przykład Przykład 3.
34Przykład Przykład 5.
37Zadanie 7.5.4.
38Zadanie 7.5.10.
39Zadanie 7.5.14.
40Zadanie 7.5.16.
40Zadanie 7.5.20.
41Zadanie 7.5.26.
42Przykład Przykład 1.
43Zadanie 7.6.2.
46Zadanie 7.6.6.
47Przykład Przykład 2.
49Zadanie 7.7.2.
52Zadanie 7.7.3.
52Zadanie 7.7.4.
53Zadanie 7.7.6.
53Przykład Przykład 1.
55Zadanie 7.8.7.
58Przykład Przykład. Gejzer
64Zadanie Zadanie 1. Śluza
66Zadanie Zadanie 2. Balon
67Zadanie Zadanie 3. Butla z gazem
67Zadanie Zadanie 4. Wartość energetyczna pożywienia
68