W tym zadaniu oblicz utratę ciepła przez ścianę o powierzchni S = 24 m2, grubości
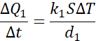
Korzystamy ze wzoru na szybkość przewodzenia ciepła (patrz „Najważniejsze informacje” s. 8):
z którego wyznaczamy wyrażenie na ciepło przenikające przez ścianę w czasie
Gdzie
Podstawiamy wartości liczbowe i otrzymujemy utratę ciepła przez ceglaną ścianę:
Odpowiedź: Przez ścianę szczytową budynku w ciągu jednej godziny przepłynęła do otoczenia energia ok. 4,42 MJ.
Korzystamy ze wzoru na szybkość przewodzenia ciepła. Różnica temperatur w stopniach Celsjusza jest taka sama jak w kelwinach.
Przykład Przykład 1.
11Przykład Przykład 2.
12Przykład Przykład 3.
13Zadanie 7.1.2
14Zadanie 7.1.3
14Zadanie 7.1.5
15Zadanie 7.1.8
15Zadanie 7.1.9
15Przykład Przykład 1.
16Zadanie 7.2.1.
18Zadanie 7.2.3.
19Zadanie 7.2.12.
21Zadanie 7.2.13.
21Zadanie 7.3.2.
26Zadanie 7.4.1.
30Zadanie 7.4.11.
31Przykład Przykład 1.
32Przykład Przykład 3.
34Przykład Przykład 5.
37Zadanie 7.5.4.
38Zadanie 7.5.10.
39Zadanie 7.5.14.
40Zadanie 7.5.16.
40Zadanie 7.5.20.
41Zadanie 7.5.26.
42Przykład Przykład 1.
43Zadanie 7.6.2.
46Zadanie 7.6.6.
47Przykład Przykład 2.
49Zadanie 7.7.2.
52Zadanie 7.7.3.
52Zadanie 7.7.4.
53Zadanie 7.7.6.
53Przykład Przykład 1.
55Zadanie 7.8.7.
58Przykład Przykład. Gejzer
64Zadanie Zadanie 1. Śluza
66Zadanie Zadanie 2. Balon
67Zadanie Zadanie 3. Butla z gazem
67Zadanie Zadanie 4. Wartość energetyczna pożywienia
68