W tym zadaniu oblicz pracę, jaką wykona wciągarka linowa, wyciągając skrzynię o m = 460 kg i wymiarach podstawy 40 cm x 80 cm oraz wysokości h = 80 cm z dna morskiego z głębokości H = 20 m do momentu, gdy górna ścianka skrzyni dotknie powierzchni wody, oraz pracę wykonaną podczas wynurzania się skrzyni z wody, jeśli gęstość wody morskiej
Gdy skrzynia jest unoszona w wodzie ku powierzchni ruchem jednostajnym, działające na nią siły się równoważą, tzn. ciężar skrzyni
Siła naciągu liny jest równa:
Gdy jeszcze cała skrzynia jest zanurzona w wodzie, siła wyporu ma stałą wartość, ponieważ V jest objętością całej skrzyni. Na pierwszym etapie, kiedy skrzynia jest w całości zanurzona, praca wykonana przez naciąg liny wynosi więc:
Po podstawieniu danych otrzymujemy:
Pracę wykonaną podczas wynurzania skrzyni z wody możemy obliczyć na dwa sposoby.
I sposób
Gdy skrzynia wynurza się z wody, maleje objętość zanurzonej skrzyni, a co za tym idzie – maleje wartość siły wyporu.
Podczas wynurzania wartość siły wyporu zależy więc od
Dla ciała o kształcie prostopadłościanu siła wyporu jest liniową funkcją zanurzenia
Siła naciągu nici jest więc równa:
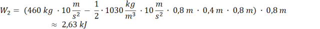
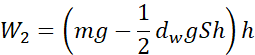
a praca wykonana przy wynurzaniu skrzyni:
II sposób
Pracę przy wynurzaniu możemy też obliczyć, najpierw wyznaczając pole figury pod wykresem ilustrującym zależność siły wyporu od zanurzenia:
Stąd praca wykonana przez siłę naciągu:
Otrzymaliśmy taki sam wzór jak w sposobie I, więc otrzymana wartość też jest taka sama.
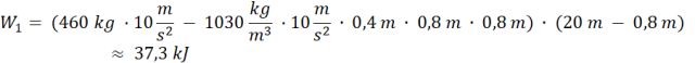
Odpowiedź: Podczas wyciągania skrzyni z wody, kiedy była ona jeszcze całkowicie zanurzona, wciągarka wykonała pracę ok. 37,7 kJ, a na samo wynurzenie skrzyni z wody – pracę ok. 2,63 kJ.
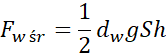
Skrzynia jest wciągana ruchem jednostajnym, więc działające na nią siły równoważą się, co oznacza, że siłę naciągu liny możemy obliczyć jako różnicę siły ciężkości i siły wyporu skrzyni. Korzystamy z definicji pracy, gdzie siłą jest siła naciągu liny, a odległością jest głębokość zanurzenia bez wysokości skrzyni, ponieważ interesuje nas odcinek, gdzie skrzynia jest całkowicie zanurzona. Podczas wynurzania skrzyni wartość siły wyporu maleje liniowo, więc w obliczeniach możemy skorzystać ze średniej siły wyporu, która jest średnią arytmetyczną początkowej siły wyporu (
Przykład Przykład 1.
11Przykład Przykład 2.
12Przykład Przykład 3.
13Zadanie 7.1.2
14Zadanie 7.1.3
14Zadanie 7.1.5
15Zadanie 7.1.8
15Zadanie 7.1.9
15Przykład Przykład 1.
16Zadanie 7.2.1.
18Zadanie 7.2.3.
19Zadanie 7.2.12.
21Zadanie 7.2.13.
21Zadanie 7.3.2.
26Zadanie 7.4.1.
30Zadanie 7.4.11.
31Przykład Przykład 1.
32Przykład Przykład 3.
34Przykład Przykład 5.
37Zadanie 7.5.4.
38Zadanie 7.5.10.
39Zadanie 7.5.14.
40Zadanie 7.5.16.
40Zadanie 7.5.20.
41Zadanie 7.5.26.
42Przykład Przykład 1.
43Zadanie 7.6.2.
46Zadanie 7.6.6.
47Przykład Przykład 2.
49Zadanie 7.7.2.
52Zadanie 7.7.3.
52Zadanie 7.7.4.
53Zadanie 7.7.6.
53Przykład Przykład 1.
55Zadanie 7.8.7.
58Przykład Przykład. Gejzer
64Zadanie Zadanie 1. Śluza
66Zadanie Zadanie 2. Balon
67Zadanie Zadanie 3. Butla z gazem
67Zadanie Zadanie 4. Wartość energetyczna pożywienia
68