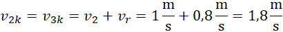
Na rysunku masz przedstawioną rzekę i wysepki, na których znajdują się gniazda kaczek. Kaczka pierwsza i czwarta poruszają się względem wody z prędkością , a kaczki druga i trzecia z prędkością . Sama woda w rzece płynie z prędkością . Twoim zadaniem jest obliczyć, jaka jest prędkość każdej kaczki względem brzegu.
Rozwiązanie
Wyjaśnienie
Jeśli kaczka płynie w taką samą stronę jak rzeka, to dodajesz wartości prędkości. Jeśli kaczka płynie pod prąd rzeki – odejmujesz od siebie prędkości.