Dane:
Szukane:
Natężenie światła spolaryzowanego po przejściu przez polaryzator ustawiony względem początkowego źródła światła możesz obliczyć za pomocą wzoru (prawo Malusa):
gdzie:
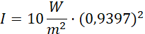
Zatem dla tego przypadku otrzymasz:
Natężenie światła po przejściu przez polaryzator wynosi zatem około
W zadaniu masz do czynienia z efektem polaryzacji światła przy użyciu polaryzatora. Kluczem do rozwiązania tego problemu jest prawo Malusa, które opisuje zależność między natężeniem światła spolaryzowanego po przejściu przez polaryzator a kątem α między płaszczyzną polaryzacji światła padającego a płaszczyzną polaryzacji polaryzatora.
Prawo Malusa głosi, że jeśli spolaryzowane światło pada na polaryzator pod pewnym kątem α do osi polaryzacji, to intensywność światła po przejściu przez polaryzator jest proporcjonalna do kwadratu cosinusa tego kąta. Stąd masz wzór
W tym przypadku, światło padające miało natężenie
W tym konkretnym przypadku, z powodu ustawienia polaryzatora pod kątem 20°, tylko około 88% światła padającego zostało przepuszczone.