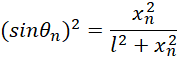
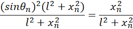
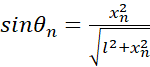
Zadanie

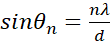
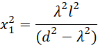
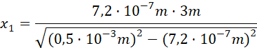
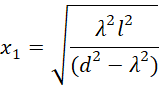
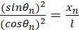
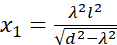
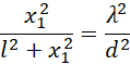
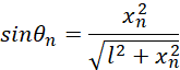
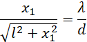
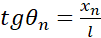
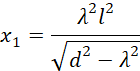
W tym zadaniu musisz obliczyć, w jakiej odległości od środkowego prążka interferencyjnego powstanie pierwszy prążek ciemny w doświadczeniu z czerwonym laserem o podanej długości fali, przy podanych odległościach szczelin i odległości ekranu od szczelin.

Rozwiązanie

Wyjaśnienie

Zadania z tego działu
16. Fale elektromagnetyczne i optyka
5
16.1. Czym są fale elektromagnetyczne
6
16.2. Widmo fal elektromagnetycznych
12
16.3. Dyfrakcja i interferencja fal elektromagnetycznych
22
16.5. Odbicie i rozproszenie światła
38
16.6. Załamanie światła
43
16.7. Częściowe i całkowite wewnętrzne odbicie
52
16.8. Rozszczepienie światła
57
16.10. Obraz rzeczywisty tworzony przez soczewkę wypukłą
70
16.11. Obrazy pozorne tworzone przez soczewki
78
16.12. Obrazy tworzone przez zwierciadła
83
16.13. Przyrządy optyczne
93