Narysuj odpowiedni rysunek:
Z rysunku odczytujesz, że:
- odległość obrazu od soczewki wynosi 20 kratek. Biorąc pod uwagę skalę (1 kratka - 2 cm), to odległość ta wynosi więc 80cm
- obraz ma wysokość 2 kratek (a więc
Teraz oblicz te same wielkości przy pomocy wzorów i danych:
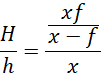
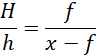
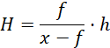
Aby obliczyć odległość obrazu od soczewki, wykorzystaj równanie soczewki:
Zatem:
Podstaw do wyprowadzonego wzoru odpowiednie dane liczbowe, aby obliczyć odległość obrazu od soczewki:
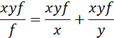
Powiększenie obrazu można wyrazić poprzez dwie zależności:
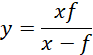
Przekształć dalej:
Aby obliczyć wysokość obrazu podstaw do wyprowadzonego wzoru dane z zadania:
Wniosek: Szukane wartości (wysokość obrazu oraz jego odległość od soczewki) uzyskane obiema metodami są takie same.
Na początku narysuj konstrukcję opisaną w zadaniu, mając na uwadze, że:
Kolejnym krokiem jest przyrównanie do siebie dwóch zależności na powiększenie obrazu. Otrzymasz wtedy równanie