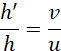
Skorzystaj z zasady podobieństwa trójkątów. W szczególności, stosunek wysokości obrazu
Z treści zadania wiesz, że:
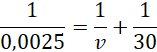
Dodatkowo, ze wzoru soczewkowego możesz obliczyć
Gdzie
Podstawiając
Podstaw wartości:
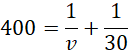
Teraz odwracając:
Teraz skorzystaj z podobieństwa trójkątów:
Obraz domu na matrycy będzie miał zatem wysokość
W pierwszym kroku korzystasz z podobieństwa trójkątów, które opisuje stosunek wysokości obrazu do wysokości przedmiotu. Ten stosunek jest równy stosunkowi odległości obrazu do soczewki i odległości przedmiotu do soczewki.
Po drugie, używasz wzoru soczewkowego, aby obliczyć, gdzie dokładnie na matrycy (w jakiej odległości od soczewki) powstanie obraz domu. Kiedy już znasz tę odległość, możesz użyć jej do obliczenia wysokości obrazu na matrycy. W ten sposób możesz dowiedzieć się, jak duży będzie obraz domu na matrycy aparatu.
Po wyznaczeniu, gdzie dokładnie na matrycy powstanie obraz domu (w jakiej odległości od soczewki), używałeś zasady podobieństwa trójkątów, aby obliczyć wysokość tego obrazu. Porównałeś wysokość rzeczywistego domu do odległości, z której został sfotografowany, i zastosowałeś ten sam stosunek, aby określić wysokość obrazu domu na matrycy aparatu. W wyniku obliczeń stwierdziłeś, że obraz domu na matrycy będzie miał wysokość 0.5 mm.