Sprawdzano, czy pocisk wystrzelony w kierunku deski sosnowej przebije deskę, która jest ustawiona 60 metrów od lufy, a sam pocisk wystrzelono z prędkością 350 w kierunku poziomym. W tym zadaniu oblicz, o ile milimetrów pocisk opadł podczas wystrzału.
Rozwiązanie
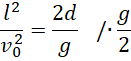
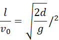
l = 60 m
= 350
Odp. Pocisk opadł o 144 milimetry w trakcie wystrzału.
Wyjaśnienie
Odległość, jaką pokonał pocisk w trakcie lotu w kierunku pionowym, obliczasz ze wzoru na zasięg w rzucie poziomym.