s = 1000 m
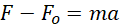
II zasada dynamiki Newtona:
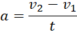
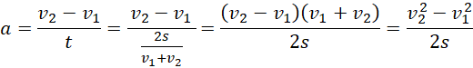
Przyspieszenie samochodu:
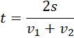
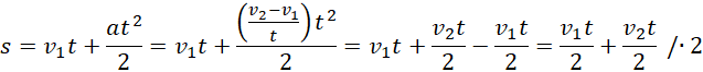
Droga, jaką pokonał samochód:
Przyspieszenie:
Działająca siła oporu:
Odp. Siła oporu działająca na pociąg wynosiła 100 kN.
Zapisujesz sobie II zasadę dynamiki Newtona – siła wypadkowa, działająca na pociąg, to różnica siły pociągu oraz sił oporu. Następnie musisz znaleźć przyspieszenie. Wyznaczasz je jako różnica prędkości osiągnięta w określonym czasie. Czas możesz wyznaczyć, wykorzystując wzór na drogę w ruchu przyspieszonym.