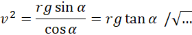
Spójrz na rysunek. Przedstawiono na nim tor kolarski o kącie nachylenia 40º i promieniu 30 m i zawodnika. Twoim zadaniem jest obliczyć prędkość zawodnika jadącego po tym łuku.
Rozwiązanie
= 40°,
Wyjaśnienie
Aby zawodnik nie przewrócił się i zachował stabilną pozycję, równoległa składowa ciężaru musi zostać zrównoważona przez równoległą składową siły odśrodkowej. Składowe wyznaczysz, korzystając z funkcji trygonometrycznych.