Narciarz wodny jest holowany przez łódź, która płynie z prędkością 58 i pokonuje zakręt o promieniu 16 m. Masa narciarza to 80 kg. Wyznacz naciąg linki holowniczej, gdy na zakręcie lina tworzy z pionem kąt 60º, a narciarz porusza się po okręgu 5 m.
Rozwiązanie
m = 80 kg
R = 16 m
= 60°
r = 5 m
Wyjaśnienie
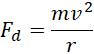
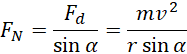
Siłę naciągu możesz wyznaczyć, korzystając z funkcji trygonometrycznej sinus, a także znając wartość siły dośrodkowej.