Na krzesełko karuzeli działa siła dośrodkowa o wartości 5,5 N wtedy, gdy 5-kilogramowe krzesło wykonuje 5 okrążeń na minutę. Oblicz promień, po którym porusza się krzesełko.
Rozwiązanie
Wyjaśnienie
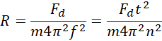
W tym zadaniu wykorzystaj wzory na siłę dośrodkową oraz na zależność pomiędzy prędkością liniową a prędkością kątową.