Zadanie

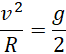
Pewien samochód wjechał z prędkością 25 na most, którego promień krzywizny to Policz, ile wynosi wartość tego promienia, jeśli nacisk samochodu na moście jest dwa razy mniejszy od nacisku samochodu na drodze prostej.

Rozwiązanie

Wyjaśnienie

Zadania z tego działu
4. Ruch i siły
113