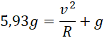
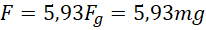
Pasażer o masie 60 kg na rollercoasterze w najniższym punkcie przejeżdża z prędkością 79,2 . Odczuwa wtedy przeciążenie, które jest 5,93 razy większe od warunków normalnych. Twoim zadaniem jest obliczyć promień rollercoastera.
Rozwiązanie
m = 60 kg
Wyjaśnienie
W najniższym punkcie na pasażera działa siła grawitacji oraz siła odśrodkowa. Siła, jaką odczuwa pasażer to siła wypadkowa tych dwóch sił.