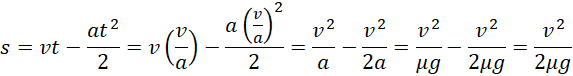
Oblicz, jaka jest droga samochodu, który jedzie z prędkością 60 , a współczynnik tarcia pomiędzy jezdnią a oponami wynosi 0,7.
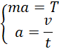
μ = 0,7
Droga:
Wartość siły tarcia to wartość siły nacisku pomnożona przez współczynnik tarcia. Jest to siła, która będzie hamowała samochód.
Zadanie 4.1.1.
Zadanie 4.1.2.
Zadanie 4.1.3.
Zadanie 4.1.4.
Zadanie 4.1.5.
Podpunkt a)
Podpunkt b)
Zadanie 4.1.6
Podpunkt c)
Zadanie 4.1.7.
Zadanie 4.1.8.
Zadanie 4.1.9.
Zadanie 4.1.10.
Zadanie 4.1.11.
Zadanie 4.2.1.
Zadanie 4.2.2.
Zadanie 4.2.3.
Zadanie 4.2.4.
Zadanie 4.2.5.
Zadanie 4.2.6.
Zadanie 4.2.7.
Zadanie 4.2.8.
Zadanie 4.2.9.
Zadanie 4.2.10.
Zadanie 4.2.11.
Zadanie 4.2.12.
Zadanie 4.2.13.
Zadanie 4.3.1.
Zadanie 4.3.2.
Zadanie 4.3.3.
Zadanie 4.3.4.
Zadanie 4.3.5.
Zadanie 4.3.6.
Zadanie 4.3.7.
Zadanie 4.3.8.
Zadanie 4.3.9.
Zadanie 4.3.10.
Zadanie 4.3.11.
Zadanie 4.3.12.
Zadanie 4.3.13.
Zadanie 4.3.14.
Zadanie 4.3.15.
Zadanie 4.3.16.
Zadanie 4.3.17.
Zadanie 4.3.18.
Zadanie 4.3.19.
Zadanie 4.3.20.
Zadanie 4.3.21.
Zadanie 4.3.22.
Zadanie 4.4.1.
Zadanie 4.4.2.
Zadanie 4.4.3.
Zadanie 4.4.4.
Zadanie 4.4.5.
Zadanie 4.4.6.
Zadanie 4.4.7.
Zadanie 4.4.8.
Zadanie 4.4.9.
Zadanie 4.4.10.
Zadanie 4.4.11.
Zadanie 4.4.12.
Zadanie 4.4.13.
Zadanie 4.4.14.
Zadanie 4.4.15.
Zadanie 4.4.16.
Podpunkt d)
Zadanie 4.4.17.
Zadanie 4.4.18.
Zadanie 4.5.1.
Zadanie 4.5.2.
Zadanie 4.5.3.
Zadanie 4.5.4.
Zadanie 4.5.5.
Zadanie 4.5.6.
Zadanie 4.5.7.
Zadanie 4.5.8.
Zadanie 4.5.9.
Zadanie 4.5.10.
Zadanie 4.5.11.
Zadanie 4.5.12.
Zadanie 4.5.13.
Zadanie 4.5.14.
Zadanie 4.5.15.
Zadanie 4.5.16.
Zadanie 4.5.17.
Zadanie 4.5.18
Zadanie 4.5.19
Zadanie 4.5.20
Zadanie 4.5.21
Zadanie 4.1.
Zadanie 4.2.
Zadanie 4.3.
Zadanie 4.4.
Zadanie 4.5.
Zadanie 4.6.
Zadanie 4.7.
Zadanie 4.8.
Zadanie 4.9.
Zadanie 4.10.
Zadanie 4.11.
Zadanie 4.12.
Zadanie 4.13.
Zadanie 4.14.
Zadanie 4.15.
Zadanie 1. Wózek spacerowy
Podpunkt 1.1.
Podpunkt 1.2.
Podpunkt 1.3.
Zadanie 2. Skok wzwyż
Podpunkt 2.1.
Podpunkt 2.2.
Podpunkt 2.3.
Podpunkt 2.4.
Podpunkt 2.5.
Zadanie 3. Tarcza
Podpunkt 3.1.
Podpunkt 3.2.
Podpunkt 3.3.
Podpunkt 3.4.
Zadanie 4. Wieżowiec
Podpunkt 4.1.
Podpunkt 4.2.
Podpunkt 4.3.
Podpunkt 4.4.