Winda przyspiesza:
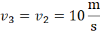
Winda jedzie ze stałą prędkością:
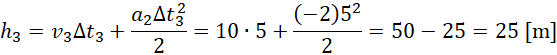
Winda hamuje:
Wysokość, na jakiej jest turysta:
Musisz policzyć, jaką drogę pokonał turysta na poszczególnych etapach ruchu, przy czym pamiętać, aby uwzględnić wysokość początkową. W pierwszym podpunkcie ustalono, że winda zjeżdża w dół, zatem wysokość turysty to jego początkowa wysokość pomniejszona o sumę dróg, jaką pokonał podczas jechania windą w każdym etapie przemieszczania.