Zadanie

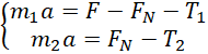
Ratownik górski ciągnie sanki z poszkodowanym turystą, działając na podłożę poziomą siłą 300 N. Linia holownicza jest ustawiona równolegle z powierzchnią ziemi. Oblicz przyspieszenie układu, czyli ratownik-sanki, oraz siłę naciągu linki holowniczej. Współczynnik tarcia pomiędzy nartami, sankami i śniegiem wynosi 0,05. Ratownik ma masę 80 kg, a turysta 100 kg.

Rozwiązanie

Wyjaśnienie

Zadania z tego działu
4. Ruch i siły
113