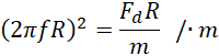
Dziewczyna siedzi wewnątrz karuzeli. Oblicz, przy jakiej częstotliwości siła dośrodkowa działająca na dziewczynę będzie wynosiła 986 N. Promień karuzeli ma długość 2 m, a masa dziewczyny to 50 kg.
Rozwiązanie
m = 50 kg
R = 2 m
F = 986 N
Wyjaśnienie
W tym zadaniu wykorzystaj wzory na siłę dośrodkową oraz na zależność pomiędzy prędkością liniową a prędkością kątową.