d = 20 m
µ = 0,2
Gwałtowne hamowanie na prostej drodze:
Omijanie łukiem:
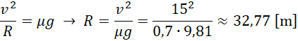
Samochód znajduje się 20 m przed przeszkodą. Gwałtownie hamując, zahamuje po 16,38 m, zatem nie uderzy w przeszkodę. Jeśli będzie chciał pokonać łuk, wyniesie on 32,77 m, czyli uderzy w przeszkodę.
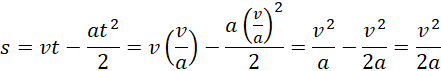
Tutaj analizujesz dwa przypadki. W pierwszym zapisujesz drugą zasadę dynamiki Newtona i obliczasz, jaką drogę pokona samochód, wykorzystując do tego wzór na drogę w ruchu przyspieszonym. W drugim przypadku siła dośrodkowa musi zrównoważyć siłę tarcia.