W tarczy zrobiono wyżłobienie o promieniu wewnętrznym 10 cm i zewnętrznym 50 cm, tak, jak pokazano to na rysunku. W środku tarczy umieszczono metalowy krążek, którego masa wynosiła 0,1 kg. Policz prędkość kątową tarczy, która pozwoli na przesunięcie się krążka ze środka na jego brzeg, wiedząc, że współczynnik tarcia to 0,16.
Rozwiązanie
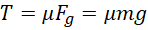
Siła tarcia:
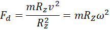
Siła dośrodkowa:
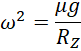
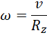
Równowaga sił:
Wyjaśnienie
Siła tarcia musi być zrównoważona przez siłę dośrodkową na krawędzi tarczy, aby krążek nie został wyrzucony z tarczy.