s = 16 m
Działające siły:
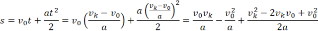
Ruch sanek:
Czas ruchu:
Prędkość końcowa:
Czas ruchu:
Odp. Prędkość początkowa saneczkarza wynosiła 3,47
Narysuj sobie przedstawioną sytuację i opisz działające siły. Następnie wykorzystaj wzory z ruchu przyspieszonego, dzięki którym wyznaczysz prędkość początkową oraz czas trwania ruchu.