t = 0,5 s
g = 10
m = 65 kg
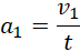
Pierwszy rolkarz – zjeżdżający:
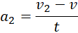
Drugi rolkarz – wyjeżdżający:
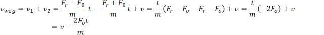
Prędkość względna:
Narysuj sobie opisaną sytuację. Wyznacz wartości sił za pomocą funkcji trygonometrycznych. Na rysunku przedstawiono opisane siły. Napisz równanie II zasady dynamiki Newtona osobno dla pierwszego oraz drugiego rolkarza tak, aby wyznaczyć ich prędkość. Prędkość względna będzie sumą ich prędkości, ponieważ zbliżają się do siebie – wektory prędkości mają przeciwny zwrot.