Zadanie

W tarczy zrobiono wyżłobienie o promieniu wewnętrznym 10 cm i zewnętrznym 50 cm, tak, jak pokazano to na rysunku. W środku tarczy umieszczono metalowy krążek, którego masa wynosiła 0,1 kg. Krążek na brzegu tarczy ma prędkość kątową 5 . W pewnym momencie kawałek ścianki przed krążkiem się oderwał, zatem krążek wylatuje przez powstały otwór i ślizga się po poziomym stole, pokonując 10 cm. Twoim zadaniem jest obliczyć, jak długo krążek poruszał się po powierzchni stołu.

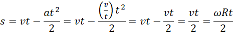
Rozwiązanie

Wyjaśnienie

Zadania z tego działu
4. Ruch i siły
113