Kierunek: pionowy
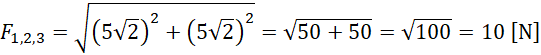
Najpierw oblicz siłę wypadkową sił 1 oraz 2. Zauważ, że możesz ją wyznaczyć z twierdzenia Pitagorasa. Wypadkowa ta leży pod kątem prostym do wypadkowej siły 3, zatem ich wypadkową również możesz wyznaczyć, używając twierdzenia Pitagorasa. Siła wypadkowa ma wektor skierowany „do góry”, zatem jej kierunek jest pionowy.