Zadanie

Motocyklista pokonuje zakręt, pochylając się w stronę środka okręgu. Jego kąt odchylenia od pionu wynosił 27º, a jego prędkość to 68,4 . Twoim zadaniem jest wyznaczyć promień okręgu, po którym porusza się motocyklista oraz obliczyć, ile wynosi maksymalny współczynnik tarcia statycznego.

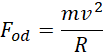
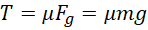
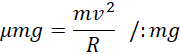
Rozwiązanie

Wyjaśnienie

Zadania z tego działu
4. Ruch i siły
113