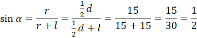
Sportowiec zawiesił na ścianie piłkę o masie 1,5 kg, średnicy 30 cm oraz długości uchwytu 15 cm. Spójrz na rysunek. Wyznacz miarę kąta uchwytu piłki i ściany.
m = 1,5 kg
d = 30 cm
l = 15 cm
Wykorzystaj funkcję trygonometryczną sinus.
Zadanie 4.1.1.
Zadanie 4.1.2.
Zadanie 4.1.3.
Zadanie 4.1.4.
Zadanie 4.1.5.
Podpunkt a)
Podpunkt b)
Zadanie 4.1.6
Podpunkt c)
Zadanie 4.1.7.
Zadanie 4.1.8.
Zadanie 4.1.9.
Zadanie 4.1.10.
Zadanie 4.1.11.
Zadanie 4.2.1.
Zadanie 4.2.2.
Zadanie 4.2.3.
Zadanie 4.2.4.
Zadanie 4.2.5.
Zadanie 4.2.6.
Zadanie 4.2.7.
Zadanie 4.2.8.
Zadanie 4.2.9.
Zadanie 4.2.10.
Zadanie 4.2.11.
Zadanie 4.2.12.
Zadanie 4.2.13.
Zadanie 4.3.1.
Zadanie 4.3.2.
Zadanie 4.3.3.
Zadanie 4.3.4.
Zadanie 4.3.5.
Zadanie 4.3.6.
Zadanie 4.3.7.
Zadanie 4.3.8.
Zadanie 4.3.9.
Zadanie 4.3.10.
Zadanie 4.3.11.
Zadanie 4.3.12.
Zadanie 4.3.13.
Zadanie 4.3.14.
Zadanie 4.3.15.
Zadanie 4.3.16.
Zadanie 4.3.17.
Zadanie 4.3.18.
Zadanie 4.3.19.
Zadanie 4.3.20.
Zadanie 4.3.21.
Zadanie 4.3.22.
Zadanie 4.4.1.
Zadanie 4.4.2.
Zadanie 4.4.3.
Zadanie 4.4.4.
Zadanie 4.4.5.
Zadanie 4.4.6.
Zadanie 4.4.7.
Zadanie 4.4.8.
Zadanie 4.4.9.
Zadanie 4.4.10.
Zadanie 4.4.11.
Zadanie 4.4.12.
Zadanie 4.4.13.
Zadanie 4.4.14.
Zadanie 4.4.15.
Zadanie 4.4.16.
Podpunkt d)
Zadanie 4.4.17.
Zadanie 4.4.18.
Zadanie 4.5.1.
Zadanie 4.5.2.
Zadanie 4.5.3.
Zadanie 4.5.4.
Zadanie 4.5.5.
Zadanie 4.5.6.
Zadanie 4.5.7.
Zadanie 4.5.8.
Zadanie 4.5.9.
Zadanie 4.5.10.
Zadanie 4.5.11.
Zadanie 4.5.12.
Zadanie 4.5.13.
Zadanie 4.5.14.
Zadanie 4.5.15.
Zadanie 4.5.16.
Zadanie 4.5.17.
Zadanie 4.5.18
Zadanie 4.5.19
Zadanie 4.5.20
Zadanie 4.5.21
Zadanie 4.1.
Zadanie 4.2.
Zadanie 4.3.
Zadanie 4.4.
Zadanie 4.5.
Zadanie 4.6.
Zadanie 4.7.
Zadanie 4.8.
Zadanie 4.9.
Zadanie 4.10.
Zadanie 4.11.
Zadanie 4.12.
Zadanie 4.13.
Zadanie 4.14.
Zadanie 4.15.
Zadanie 1. Wózek spacerowy
Podpunkt 1.1.
Podpunkt 1.2.
Podpunkt 1.3.
Zadanie 2. Skok wzwyż
Podpunkt 2.1.
Podpunkt 2.2.
Podpunkt 2.3.
Podpunkt 2.4.
Podpunkt 2.5.
Zadanie 3. Tarcza
Podpunkt 3.1.
Podpunkt 3.2.
Podpunkt 3.3.
Podpunkt 3.4.
Zadanie 4. Wieżowiec
Podpunkt 4.1.
Podpunkt 4.2.
Podpunkt 4.3.
Podpunkt 4.4.