Oblicz, z jaką prędkością kątową może poruszać się kula o masie 7,26 kg, która jest przymocowana do linki zataczającej okręgi o promieniu 0,8 m. Siła zrywająca linkę to 3,418 kN.
Rozwiązanie
m = 7,26 kg
R = 0,8 m
Wyjaśnienie
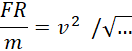
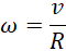
W tym zadaniu wykorzystaj wzory na siłę dośrodkową oraz na zależność pomiędzy prędkością liniową a prędkością kątową.