Zadanie

Policz, w jakiej odległości od osi obrotu karuzeli może dziecko położyć plecak, jeśli karuzela obraca się z częstotliwością 0,5 Hz, a współczynnik tarcia pomiędzy plecakiem a powierzchnią karuzeli wynosi 0,6.

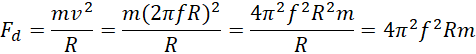
Rozwiązanie

Wyjaśnienie

Zadania z tego działu
4. Ruch i siły
113