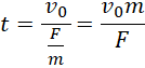
m = 800 kg
F = 4000 N
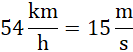
Prędkość:
Działająca siła:
Droga hamowania:
W tym zadaniu musisz wykorzystać wzory na prędkość i drogę w ruchu przyspieszonym, a samo przyspieszenie wyznaczasz jako iloraz działającej siły na samochód oraz jego masy.