W tarczy zrobiono wyżłobienie o promieniu wewnętrznym 10 cm i zewnętrznym 50 cm, tak, jak pokazano to na rysunku. W środku tarczy umieszczono metalowy krążek, którego masa wynosiła 0,1 kg. Wyznacz zależność siły dośrodkowej, która działa na krążek, od promienia okręgu przy stałej prędkości kątowej. Następnie narysuj wykres tej zależności dla prędkości kątowej 5 w zakresie od 10 cm do 50 cm.
Rozwiązanie
dla
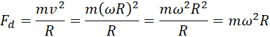
Wzór:
Wykres:
Współczynnik nachylenia prostej:
Wyjaśnienie
Zapisujesz wzór na prędkość dośrodkową tak, aby uwzględnić w niej prędkość kątową. Promień traktujesz jako zmienną.